
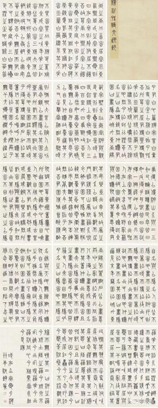
《杨沂孙诗文选钞》
绢布,180cm×80cm,2022年
入展首届江苏省“杨沂孙·书法篆刻作品展”
作品简介:
杨沂孙(1812-1884),江苏常熟人,清代书法家、文字学家。杨沂孙是在乾嘉余风下成长起来的清代中后期篆书书家代表之一。他认为:“只有将钟鼎彝器铭文的写法与小篆的写法相互参校,古文字书法方能产生新质,方能振兴篆书。”本作创作于2022年,内容选自杨沂孙著《观濠居士遗著》,选用素白绢布作为书写载体,正文共14页,单字大小为3*2.5cm。风格上参照了杨沂孙晚期的篆书书风:以小篆为根基,上溯追古,参以两周金文的用笔元素和结字特点,在小篆的婉转流美之中,增添了金文石鼓的整饬静穆。